数学第一家族和“伯努利方程”
引号
流体行为是不可预测的
比描述黑洞要困难
1912年秋天,奥林匹克船在海上航行。距离世界上最大的远洋船只距离酒店有120米,那里有一辆巡洋舰“ Haoke”,比它小得多。当他看到这个世界上第一艘巨型船时,“豪克上尉”特别兴奋。他与奥运会平行地向前冲,内心深思,“无论巨型船有多大,我都可以与您并肩前进。”

世界上有意外的情况。加速的“ Haoke”突然被“奥林匹克”吸引。队长根本无法控制方向,而是撞到了“奥林匹克”,最终导致了一次重大的沉船事故。
这次海中的突然灾难使警察根本无法找到他们的方向,因为没有人知道这次事故的罪魁祸首是流体力学中的“伯努利方程”。
说到“ Bernoulli方程式”,我们将谈论一个古老的数学家庭,其神秘且不可预测的家庭可以与流动的物体相提并论。
伯努利家族:数学第一家族
伯努利家族就像科学史上的奇迹。没有人能解释什么使伯诺利家族造成了什么。
这个家庭中有十几位数学家,其中一些是欧拉的老师,有些是莱布尼兹的朋友。即使我们抛弃了理论数学,这个家庭在工程,技术,法律,管理,文学,艺术和其他领域也很受欢迎。只有多达120个人仅在历史上追溯到历史上。它是历史上的第一个科学小组开元ky888棋牌官网版,也是数学圈子中的著名家庭。

特别是在18世纪,有三位世界一流的数学家,雅各布·伯诺利(Jacob Bernoulli),约翰·伯诺利(John Bernoulli)和丹尼尔·伯诺利(Daniel Bernoulli)。他们共同在微积分的发展和应用中发挥了领导作用,从而促进了世界各地的科学发展。
雅各布·伯诺利(Jacob Bernoulli)是这个家庭中最早的叛军,它放弃了伯努利家族积累的商业资源,毫不犹豫地走向数学的深渊。这个家庭的长子打破了父亲的心,成为第一个证明大量法律的人,这是概率理论的先驱之一,并解决了一系列早期的微积分问题。牛顿的终生对手莱布尼兹(Leibniz)曾哀叹雅各布(Jacob)在世界上最了解微积分。雅各布最著名的句子是:我违背了父亲的遗嘱,研究了星星。
约翰·伯诺利(John Bernoulli)是雅各布·伯诺利(Jacob Bernoulli)的弟弟。他兄弟的诚意给约翰带来了巨大的压力。老尼古拉斯(Nicholas)承担着将家人照亮约翰肩膀的巨大责任。为了学习数学,聪明的约翰终于以学习医学的幌子上大学,并非常熟悉莱布尼兹。他成为各种方法的创始人。 1696年,他以可靠的方式提出了著名的“速度下线问题”,并培训了许多杰出的数学家,例如Euler,Clem,Lobita,Daniel和Nicholas II。

丹尼尔·伯诺利(Daniel Bernoulli),物理学家,数学家和医学科学家。约翰·伯诺利(John Bernoulli)的儿子,伯诺利(Bernoulli)家族知识渊博的知识知识的代表,也是家庭中最伟大的成就者。他拥有80多种数学和力学作品和论文,并且是数学和物理方法的创始人。 1738年的“流体动力学”的出版使它达到了科学的高峰,并成为流体力学的创始人,后来成为“流体力学的父亲”。
家庭纠纷在“流体漩涡”中
与科学的耀眼光彩相对应,在这个数学家庭中从未消失。
这个家庭放弃了世俗的财富,但是对数学荣誉的追求成为了另一种诅咒。
雅各布·伯诺利(Jacob Bernoulli)和他的弟弟约翰·伯诺利(John Bernoulli)互相战斗,两人在“双曲线余弦功能”和“降速曲线”的证明中互相攻击,成为终身对手。
雅各快死了,他仍然诽谤他的弟弟:“如果我很快死亡,我的弟弟一定会返回巴塞尔。他不会接受其他职位,他只想接管我的职位。”
比兄弟的战斗更令人恐惧的是,约翰·伯诺利(John Bernoulli)和丹尼尔·伯诺利(Daniel Bernoulli)也扮演着一个有关剑和阴影的故事。
1734年,当丹尼尔·伯诺利(Daniel Bernoulli)带着巴黎科学院的大奖赛回到他的家乡时,他的父亲约翰只做出了一个决定:将儿子赶出房屋。即使是他的儿子,约翰也无法容忍他越来越数学上的优势可能威胁到他的学术地位。这种嫉妒也许比击败他的哥哥雅各布时还要糟糕。
约翰·伯诺利(John Bernoulli)曾经在日记中自豪地写道:“我的对手都死在我面前,他们都比我年轻,这是命运。”即使他很孤独,他也独自站在山顶上,他也不允许任何人夺走自己的光线,甚至是他自己的儿子。
数学是与约翰·伯诺利(John Bernoulli)的手指相关的戒指之主。他希望一个人完全拥有它,没有人可以触摸它。

丹尼尔打算避免父亲的研究领域。他开始研究流动力学的知识,并试图处理父亲熟悉的领域。但是,约翰被丹尼尔(Daniel)的研究领域深深吸引。丹尼尔(Daniel)出版了他的书《流体机制》后,他遵循了一本书《水力学》,并故意将写作时间表示为1732年,试图证明他的优先事项。但是很快,约翰的窍门就暴露了。由于丹尼尔(Daniel)在写作过程中一直与其他科学家进行沟通,因此约翰的书的出现令人震惊。更糟糕的是,约翰实际上是通过从儿子的书中窃取材料来窃了儿子的学业成就。
伯努利方程:弧线的魅力
“流动力学”有什么魔术使父亲窃儿子的成就?
Bernoulli方程式有多伟大?丹尼尔能否在家庭和科学圈中闻名?
在1726年,通过一生中不起眼的奇怪现象:为什么水在打开时会比水龙头的出口稀薄?丹尼尔(Daniel)发现,水流流出的压力低于周围的静止空气,因此水流将变成一列水,比水龙头的出口薄。
为了验证他的猜想,丹尼尔反复进行了试验,让水流过水平透明的玻璃管,将透明的毛细管在玻璃管上插入透明的毛细管,然后通过观察毛细管中液位的变化来测量水流的压力。水压越高,毛细管中的液体水平越高,反之亦然。正如预期的那样,伯努利发现,水平管道中水流的速度增加会降低垂直管道的压力,并且下降程度与水流速度的平方成正比。因此,任何流动的水流都低于静止压力,流速越快,压力越低。
这种推论是后来著名的“伯努利原则”。
在1738年开yun体育官网入口登录app,在“流体力学”一书中,丹尼尔根据伯努利的原则给出了等效的数学表达“伯努利方程”:

p,表示流体的某个点的压力
ν表示流体中某个点的流速
G,是重力的加速度
h,流体中的点的高度
ρ是流体密度
C,是一个常数
在这里,让我们解释一下为什么奥林匹克船与鹰相撞。
当两艘船并排航行时,较窄的水面高于两艘船外的水流,并且压力小于两艘船外的水流。结果,两艘船将被水挤压,并在船上的外部压力较高,最后发生碰撞事件。

Bernoulli家庭扩展线:流体无限
尽管约翰在晚年与儿子丹尼尔(Daniel)战斗,但丹尼尔(Daniel)年轻时还是一位合格的父亲。
1725年,丹尼尔(Daniel)去彼得斯堡科学院(Petersburg Science)工作,并被任命为生理学与数学学院时,他的父亲约翰(John)担心他的儿子不会有能力,所以他让他最喜欢的学生欧拉(Euler)成为丹尼尔(Daniel)的助手。是的,您读到了正确的,那是数学史上的顶级神,成为了丹尼尔的“助手”。
欧拉(Euler)“与王子一起学习”,没有遭受任何损失。他在这个数学家庭中获得了很多奖励。他使用丹尼尔·伯诺利(Daniel Bernoulli)发明的无限插值方法完美地获得了阶乘函数的完整实际数字表达(即伽马函数)。当他看到伯努利的方程式时,他也感到非常兴奋,但是丹尼尔的方程式太简单明了,无法突出第一个数学家族的风格。此外,伯努利家族一直以其在微积分方面的专业知识而闻名。 Euler是合格的助手。他决定将Bernoulli方程式升级到Bernoulli等式2.0:

比较Bernoulli方程,您是否觉得自己一次从中学到了硕士学位水平。目前,欧拉(Euler)才20岁。他值得成为著名的数学家和教育家约翰·伯诺利(John Bernoulli)的门徒。他将动量和质量的保护植入流体力学中,从而产生了一个统一的粘性流体方程。尽管后来有无数的流动力学研究人员和无数优秀的数学家,但没有人敢于背叛这两个保护者...
但是,我们不知道丹尼尔本人的想法,但是作为欧拉(Euler)的一生中最好的朋友,他的一半秘密地幸福,而另一半则觉得这是一个炫耀。
除了欧拉(Euler)外,作为伯努利(Bernoulli)门徒的第三代凯奇(Cauchy) - 约翰·伯诺利(John Bernoulli)是老师奥勒(Ouler),欧拉(Euler)是拉格朗格(Lagranges)的重要影响者,而拉格朗格斯(Lagranges)是凯奇(Cauchy)的重要教练。
库奇还想反映他在这个数学家庭中的存在。他发布了Bernoulli方程的新版本3.0 Cauchy的动量定理:Bernoulli方程式2.0中的九维张量方程。

σ是张量
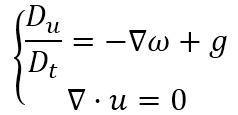
流体空间突然从三维力跳到了九维压力,库奇突然在欧拉的三维力量中增加了六个剪切应力。尽管该风格已经达到了新的水平,但它却吓坏了90%的最初打算研究流体机械的爱好者。其余10%只能凝视发呆的方程式。直到四分之一之后开元ky888棋牌官方版,Navi和Stokes才发现“粘度X速度差异”才能获得剪切应力。这两位不怕死亡的数学家共同努力启动了Navi-Stokes方程(以下简称NS方程式),科学界开始认真考虑流体力学方程式,这一想法为155年。
Bernoulli方程4.0:Navi Stokes方程
2000年初,美国粘土数学研究所选择了七个“千年奖问题”,并建立了700万美元的奖金基金。
这七个“世界问题”是:NP完全问题,霍奇的猜想,庞加莱的猜想,里曼的假设,Young Mills的存在以及质量差距,NS方程和BSD猜想。这七个问题都得到了一百万美元的奖励。
此时,自1845年完整提出“ Bernoulli方程4.0(NS方程)”的完整提议以来,已经过去了155年。为了解决这个非线性偏微分方程,我不知道有多少英雄正在为之奋斗。即使是Navig和Stokes本身也别无选择。求解NS方程非常困难和复杂。除了一些非常简单的特殊情况流问题外,他们只能找到确切的解决方案。例如,沿流线集成NS方程可以获得粘性流体的Bernoulli方程:

无论解决NS方程有多么困难,流体力学都是如此重要。有人,有河流和湖泊,那里有水和空气,有流体机制。无论如何,您都必须尝试。因为不能将航天器与流体力学分开,因此水下潜艇不能与流体力学分开。香港 - Zhuhai-Macao桥和南到北水的转移项目不能与流体力学分开。找到准确的解决方案是所有科学家的梦想。
不要认为计算黑洞的Schwarzsche解决方案是如此困难。计算从社区中旧苹果树掉下来的叶子的轨迹真是太神奇了。
这样,许多人只想打败本世纪的问题。
总之,流体的精确解决方案主要分为两所主要学校。
第一类是理论学校。这所学校主要由伟大的科学家组成。这些人在天空之上,相信凭借自己的天才头脑,他们可以找到一个通用的公式,他们可能不一定向伯诺利家族投降。这些人包括麦克斯韦和鲍尔茨曼...他们都试图从微观世界中寻求宏观世界的运动轨迹,并破解不可预测的流体秘密。

第二类是实验学校。这些人是实验科学家。他们认为,伯努利方程是解决问题的基石。他们不相信那些虚构的自我想象。相反,他们想构建数学模型来通过实验解决它们。他们使用模型来计算流体。实验在这个世界上无法解决的问题没有问题。如果它不起作用,请进行另一个实验。最著名的实验学校包括以下内容:
雷诺实验。随着时间的推移,将瞬时速度分解为统计平均速度和脉动速度。
跑步模型。假定涡流具有粘性特性,并且假定九维张量等于涡流的粘性乘以流体的变形量。
鞭子棒模型。湍流通过涡流粘度系数方法模拟,雷诺应力和平均流场通过涡流粘度连接。

NS方程式继续了伯努利方程的传说,就像那个神秘的数学家庭一样,我们尚未破解她的奥秘。
结论
我们会有这样的数学家庭吗?
多年过去了,谈论伯努利家族时,每个人仍然叹了口气。
这个家庭放弃了商业界的繁荣,并将其终身价值集中在冷学数学上。他们在科学史上实现了自己的荣耀,并为生活带来了难以忍受的体重:兄弟互相抗争,父亲和儿子相互反对。
这是一个受上帝偏爱的家庭还是智慧诅咒的种族?
从学术传统中,伯努利家族继承了霍根斯和莱布尼兹的传统,并开始了关于将运动和节能作为欧洲大陆的主要线路的机械研究,为后来的分析力学开放奠定了基础。也可以说,这是为法国,俄罗斯和德国代表的欧洲大陆学校的后来传统奠定了基础。当然,最出色的成就之一是“伯努利方程”。
伯努利家族的这种现象具有光明的星星和充满才华的人,吸引了人们的注意力数百年。它给人们一个灵感:家庭的“靠近红色的人”可以是天才成长的摇篮。这样的数学家庭有一天会出现吗?
参考:
Zou Liyao,Chen Shiyuan等。基于Bernoulli原则的电动汽车辅助电源的研究。 “微型运动”,2013年
Chen Yushu。受欢迎的船长 - 谈论伯努利原则。 “高中物理学”,2003年
黄华,陈红色。误解和正确解决教科书中Bernoulli原理演示实验的解决方案。 “物理教学”,2017年
由L. Langt撰写,由Guo Yonghuai和Lu Shijia翻译:“流体力学简介”,《科学出版社》,北京,1981年。
王·尤隆(Wang Yundong),卢山(Luo Quangsheng),刘Qian(Liu Qian)。交付过程的原则:Tsinghua大学出版社,2002年
孤独寻求安静,非正式的流体力学历史,2019年
由此问题编辑|超立方体
此问题的提交| depuluoyi