【物理方程】六个改变历史进程的物理方程
物理方程就像魔术。他们不仅可以解释过去,让我们知道为什么彗星哈雷每76年一次参观地球。我们还可以预测未来,并告诉我们宇宙的最终命运。
它们将“可能性”添加到“可能性”中,例如“效率”到发动机;他们揭示了我们永远无法想象的可能性,例如原子中的能量。
在过去的几个世纪中,许多简单而强大的公式出现了,并不断改变历史过程。今天,我们将研究一些最关键的地方。
1。牛顿第二定律(1687年)

它说什么?
功率等于质量乘以加速度。
换句话说 ...
推动空旷的购物车比完整的购物车更容易。
它教我们什么?
它由牛顿的其他两个主要的运动法奠定了经典机制的基础。
物理学家和工程师重视F = MA的计算能力的值。您的体重(在牛顿)是您的质量(kg)乘以地球重力的加速度(每秒约9.8米)。因此,如果您说自己的“体重” 60公斤是错误的,那么您的实际体重应该约为600牛顿。当您称重时,这就是比例尺的大小。
它是实用的吗?
这个方程对于机械时代的到来至关重要。几乎需要使用可能导致运动的力的任何计算。
它告诉您发动机为汽车提供动力,飞机起飞多少,火箭抬起需要多少推力等等的强大功能。
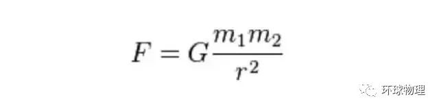
2。牛顿重力定律(1687年)

它说什么?
任何两个质量的物体在太空中相互吸引,但是随着增加的增加,这种吸引力将迅速降低。
换句话说 ...
我们被“被困”了,因为地球的质量比我们要大得多。
它教我们什么?
在牛顿之前,宇宙分为两个区域 - 地球和天空。牛顿的重力法适用于一切:让树从树上掉下来的力量也是绕地球旋转月球的力量。它在日常生活中首次联系了地球上发生的事情。
它是实用的吗?
长期以来,其主要目的是计算行星的轨道。在1950年代和1960年代的太空时代,它开始在实践中使用,例如将卫星发射到近地轨道,以及宇航员到月球。
唯一的遗憾是牛顿本人承认的失败是开元ky888棋牌官网版,当时他不知道为什么“为什么”是重力。直到230年后,爱因斯坦才提出了相对论的一般理论,该问题解释了:重力是由大尺度对象引起的,以扭曲周围时空。
即便如此,最广泛的相对论仅在更极端的条件下使用开元ky888棋牌官方版,例如重力非常强或准确性要求很高,例如GPS卫星。在大多数情况下,牛顿的330 -year -old公式已经足够了。
3。热力学的第二定律(1824)

它说什么?
熵(一个无序的措施)总是在增加。
换句话说 ...
无需伤害桌面溢出的咖啡,混乱和混乱是宇宙的不可避免的本质。
它教我们什么?
在19世纪,当法国物理学家萨迪·卡诺(Sadi Kano)试图分析蒸汽发动机的效率时,他意外地发现了科学史上最深的方程之一。它告诉我们,某些过程是不可逆的,甚至可以开始考虑时间的方向。它最简单的表达方式之一是,卡路里始终从高温对象传递到低温对象。
它也可以应用于更广泛的规模。有些人用它来描述宇宙的最后命运 - “热寂静”,也就是说,除卡路里,所有恒星都在燃烧,没有剩下的。有些人在来回描述了宇宙的起源 - 大爆炸的瞬间是0。
它是实用的吗?
从蒸汽机到内燃机,从制冷技术到化学工程的工业革命的技术开发至关重要。在现实中,总是会浪费一些能量,因此该法律也表明永久动机是不可能的。
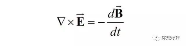
4。Maxwell-Faraye Seda(1831年和1865年)

它说什么?
磁场(右)的变化可以产生可变的电场(左),反之亦然。
换句话说 ...
电力和磁性是近亲!
它教我们什么?
1831年,迈克尔·法拉迪(Michael Faraday)意识到在附近的电线中发现了磁场的变化,并发现电气和磁场之间的联系。
后来,詹姆斯·克拉克·麦克斯韦(James Clark Maxwell)总结了法拉第(Faraday)观察到的现象,他是他的四个基本电磁方程之一,具有巧妙的数学公式。
它是实用的吗?
这是一个照亮世界的方程式。大多数发电机(无论是在风力发电机,煤炭发电厂还是水电坝)都通过将机械能转换为旋转磁铁而运行。反向操作的过程可以获取电动机。
即使是现在开yunapp体育官网入口下载手机版,麦克斯韦的方程式几乎都用于电气工程,通信技术和光学的所有应用中。
5。爱因斯坦的质量方程(1905年)

它说什么?
能量在光速下等于光的平方。
换句话说 ...
质量是一种超浓度的能量形式。
它教我们什么?
由于公式中的常数(光速平方)是非常大的数字,因此它可以通过转换微端的质量来释放巨大的能量。
它是实用的吗?
爱因斯坦最著名的公式意味着在核裂变时可以释放的巨大能量的潜力(即,对两个小原子核的不稳定原子核裂变)。这是因为两个较小的原子核的质量总是小于原始大原子核,并且缺乏质量被转化为能量。
1945年8月9日,在日本长崎扔的“脂肪”原子弹将质量仅转化为能量,但爆炸的力量相当于20,000吨TNT。爱因斯坦(Einstein)在推动原子弹研究和发展时签署了写给美国总统罗斯福的信,后来被认为是他一生中的“巨大错误”。
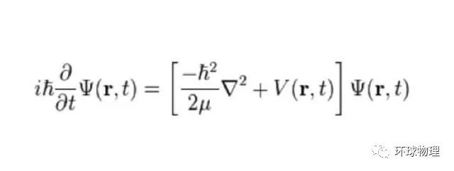
6。Xue Dingzhang的波动方程(1925)

它说什么?
它描述了如何从粒子的动能(运动)及其势能(经历的相互作用)中计算粒子的变化(如烛台的形状)。
换句话说 ...
这是f = ma的量子版本。
它教我们什么?
Xue Dingzheng在1925年提出了这个方程式,允许物理学家计算量子颗粒的锻炼和相互作用,这也使新的量子力学理论扎实。
该方程使用数学浪潮。由于亚原子粒子在波动,因此它们之间的相互作用可以描述为波的干扰。
它是实用的吗?
它以最简单的形式之一描述了原子的结构,例如核周围的电子排列以及所有化学键。
它在量子力学的许多计算中更常用,也是开发许多现代技术(例如激光,水晶管和未来量子计算机)的基础。
以上六个公式中的哪一个会给您带来最大的震惊?